咨询热线

13388604010

当前位置:首页  >  技术文章  >  灰分测定自动化升级:7坩埚同步处理,效率提升50%

灰分测定自动化升级:7坩埚同步处理,效率提升50%

更新时间:2025-12-15      点击次数:651


摘要
“灰分到底是什么?"


“为什么同样的方法,不同人做结果偏差很大?"


“程控灰化炉和传统马弗炉到底区别在哪里?"
这篇文章,就基于我们中旺科技过去 16 年深耕材料检测实验室的服务经验中(涵盖化纤、改性塑料、橡胶、食品、辅料等多个行业),一线工程师的真实经验 + A8 程控灰化炉的标准操作逻辑,为我们实验室操作人员提供一次性讲清楚的完整知识。【文末有完整操作视频】


一、灰分到底是什么?
(实验人员必须掌握的核心定义)


灰分(Ash Content)是指:


样品在规定条件下高温灼烧,所有有机物被氧化挥发后剩余的不可燃无机残渣占样品质量的百分比。
在中旺参与的实验室项目中,它常被用于判断:
  • 原料纯度是否稳定
  • 生产工艺是否引入无机杂质
  • 是否存在填料、催化剂残留
  • 产品是否满足标准或客户协议要求
灰分是“看似简单,但极度依赖规范操作"的指标。
二、为什么灰分实验容易做不准?
(五大误差来源)


1、温度控制不准(最常见)
  • 灰化温度不足 → 灰化不充分
  • 升温过快 → 样品突燃、冒烟
  • 保温时间不足 → 残炭未充分氧化
中旺 A8 程控灰化炉可自动执行 1–9 段升温程序


避免了不同操作员之间的设温差异。
2、坩埚未处理到“恒重"
未完成“灼烧—冷却—称量"循环,会导致坩埚自身质量漂移。
3、样品含水量高或混匀不足
水分
会推高 m₁,使最终灰分偏低。
4、灰化不充分
典型表现:
  • 灰分发黑
  • 有黑色炭点
  • 灰分呈片状或不均匀
此时应按流程重新灰化。
5、称量不规范
中旺工程师在现场遇到最多的问题包括:
  • 坩埚未在干燥器冷却至室温
  • 分析天平未稳定水平定位
  • 样品吸潮
  • 静电、气流干扰称量
这些看似小问题,却是多数实验重复性差的根源。
三、灰分标准操作流程


① 坩埚预处理(达到“恒重")
1. 清洁坩埚
2. 在 A8 灰化炉中灼烧(如 550℃)
3. 放入干燥器冷却
4. 称量质量 m₀
5. 重复直到质量差满足标准要求(如 ≤0.3 mg)
 A8 灰化炉最高温度 1100℃,可满足不同材料的坩埚预处理要求。
② 称量样品
  • 将恒重坩埚置于天平
  • 加入混匀后的样品(1–5 g,依标准)
  • 摊平
  • 记录:
m₁ = 坩埚 + 样品
温馨提示:灰分重复性优先从“称量规范"抓起。
③ 预灰化(适用于易冒烟样品)
在低温区(如 250℃)缓慢炭化,减少突燃及炉膛污染。
④ 正式灰化:放入 A8 并设置程序
典型操作(示意):
室温 → 250℃(炭化阶段)
恒温 20–30 min
250℃ → 550℃(灰化阶段)
恒温 1–2 h
自动降温
 A8 灰化炉支持多段程序升温、一键调用程序、6 坩埚同步处理。
这大幅降低了传统马弗炉对操作员经验的依赖。
⑤ 灰化完成 → 冷却 → 再称量
流程:
1. 灰化结束后自然降温
2. 取出坩埚立即放入干燥器
3. 冷却至室温
4. 称量: m₂ = 坩埚 + 灰分
如灰分颜色异常,应再次灰化。

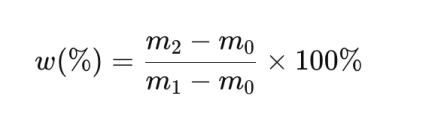
四、灰分计算公式
(实验室最常查的知识点)


标准公式:


含义:
  • m₀:坩埚恒重质量
  • m₁:坩埚 + 样品质量
  • m₂:坩埚 + 灰分质量
温馨提示:
  • 平行样至少两份
  • 结果差值应满足标准重复性要求
  • 灰分极低样需使用高精度天平
五、为什么越来越多实验室换成 A8 程控灰化炉?


1、程序化升温,避免人为误差
传统马弗炉:
  • 每次设温靠经验
  • 升温快慢难一致
  • 易出现“同样批次不同人测不一致"


A8 程控灰化炉:
  • 支持 1–9 段程序
  • 可储存常用程序
  • 一键调用,跨班组一致性高
2、温度均匀性高、灰化更充分
炉膛结构
温控算法
决定灰化效果稳定性。

A8 的温度波动度更小,更利于清晰判断是否灰化充分

3、支持多坩埚同步处理(批量效率高)
一次可处理 7 个样品,适合日常大批量质检场景。
4、满足多项国标要求(关键合规能力)
适用标准包括:GB/T 9345.1-2018、GB/T 9345.2-2008、GB/T 9345.4-2008、GB/T 9345.5-2010
T/CPIF 0150-2021、T-PSTM 0004-2021、GB/T 30923、GB/T 2914、GB/T 79345.1。
这是实验室审核和比对验证时的核心优势。


5、搭配 F1 快速降温器,提高周转效率
资料显示,F1 可将坩埚从 850℃ → 50℃ 仅需约 15 min。
对日检量高的实验室,效率提升非常明显。


六、灰分实验真正的难点,是“稳定性"


灰分测定最难的不是技术,而是:


●温控能否稳定


●操作是否一致


●灰化是否
充分


●称量是否规范
A8 程控灰化炉的价值就在于:
把高度依赖“经验"的实验,变成依赖“系统"的实验。
让灰分测定变得更稳定、更安全、更高效。
如果你的实验室正在做灰分方法比对、流程优化、自动化升级,我们愿意提供进一步的技术交流与免费测样。